Interferon alpha 2/IFNA2 Protein, Human, Recombinant
Référence NB-64-55495-50ug
Conditionnement : 50ug
Marque : Neo Biotech
Product Information
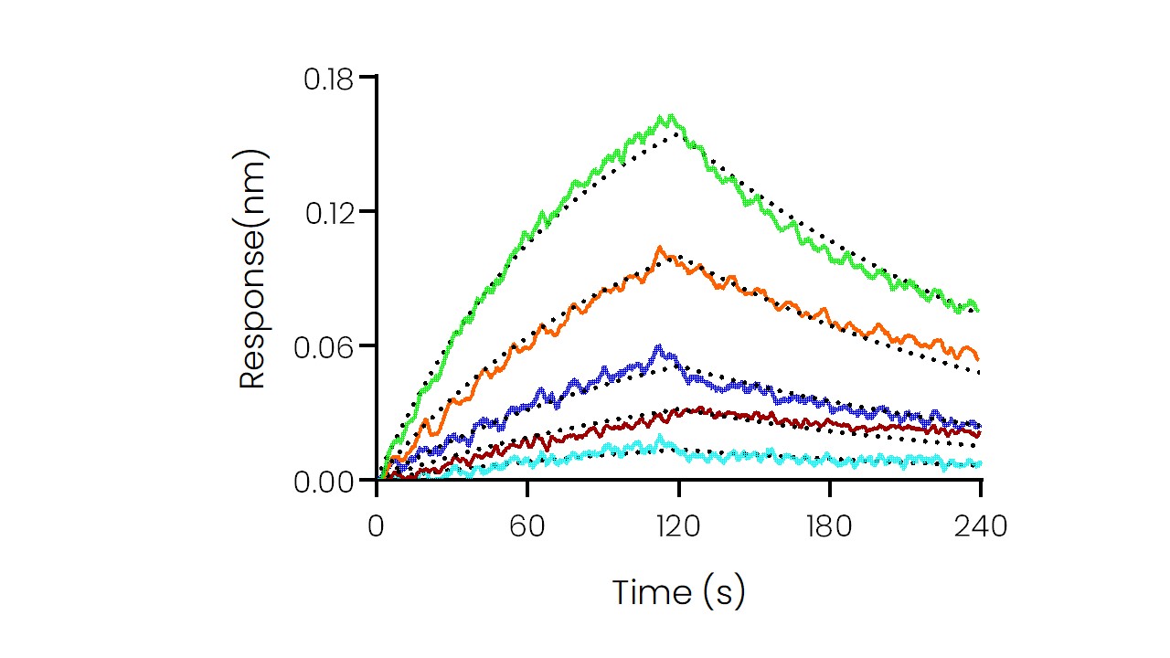
| Biological Activity | 1.Measured in antiviral assays using WISH human amnion cells infected with vesicular stomatitis virus (VSV). The ED50 for this effect is typically 0.6-4.2 pg/mL. 2.Loaded IFNAR2 Protein, Cynomolgus, Recombinant (His) (Cat#TMPY-00139) on NTA Biosensor, can bind Interferon alpha 2/IFNA2 Protein, Human, Recombinant (Cat#TMPY-00265) with an affinity constant of 23.6 nM as determined in BLI assay (Sartorius Octet RED384). ![]() ![]() |
| Description | Interferon alpha 2/IFNA2 Protein, Human, Recombinant is expressed in yeast. The predicted molecular weight is 19.3 kDa and the accession number is P01563.1. |
| Species | Human |
| Expression System | P. pastoris (Yeast) |
| Tag | Tag Free |
| Accession Number | P01563.1 |
| Synonyms | interferon, α2,interferon, alpha 2,Interferon α2/IFNA2,Interferon α2,Interferon alpha 2,INFA2,IFN-αA,IFN-alphaA,IFNAB,IFNA2B,IFNA |
| Construction | A DNA sequence encoding the human IFNA2 (P01563.1) (Cys24-Glu188) was expressed. Predicted N terminal: Cys 24 |
| Protein Purity | ≥ 90 % as determined by SDS-PAGE. ![]() |
| Molecular Weight | 19.3 kDa (predicted) |
| Endotoxin | Please contact us for more information. |
| Formulation | Lyophilized from a solution filtered through a 0.22 μm filter, containing PBS, pH 7.4. Typically, a mixture containing 5% to 8% trehalose, mannitol, and 0.01% Tween 80 is incorporated as a protective agent before lyophilization. |
| Reconstitution | Reconstituted with sterile deionized water to 0.25 mg/mL. Reconstitution conditions may vary depending on the lot. |
| Stability & Storage | It is recommended to store recombinant proteins at -20°C to -80°C for future use. Lyophilized powders can be stably stored for over 12 months, while liquid products can be stored for 6-12 months at -80°C. For reconstituted protein solutions, the solution can be stored at -20°C to -80°C for at least 3 months. Please avoid multiple freeze-thaw cycles and store products in aliquots. |
| Shipping | In general, lyophilized powders are shipped with blue ice, while solutions are shipped with dry ice. |
| Research Background | IFNA2 (Interferon Alpha 2) is a Protein Coding gene. This gene is a member of the alpha interferon gene cluster on chromosome 9. The encoded protein is a cytokine produced in response to viral infection. Type I Interferons (IFNs) are well-known cytokines that exert antiviral activity, antitumor activity, and immunomodulatory effects. Interferon tau (IFNT), a type I IFN similar to alpha IFNs (IFNA), is the pregnancy recognition signal produced by the ruminant conceptus. Among the IFN-α genes, a total of 28 different sequence variants have been described. The three principal subtypes of IFNα-2 are designated α-2a, α-2b, and α-2c. IFNα-2b is being the predominant allele while IFNα-2a is less predominant and IFNα-2c only a minor allelic variant. |
Dose Conversion
You can also refer to dose conversion for different animals. More




